Building an Acoustic Steel String Guitar

Details on how I built my first acoustic guitar

Main Menu

Skip to content
  • The Introduction
  • The Build Process
    • Planning and Design
      • Fret Spacing Calculation
    • Template and Workboard
    • Building the Neck
    • Making the Body Plates
    • Soundhole Rosette
    • Soundboard Bracing
    • Bending the Sides
    • Gluing the Sides to the Soundboard
    • Creating and Installing the Back Plate
    • Binding the Body
    • Making the Dovetail Neck Joint
    • Carving the Neck
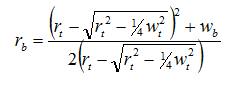
    • Making the Fretboard
    • Making the Bridge
    • Creating the Headstock Inlay
    • Finishing
    • The End Product
  • Tools and Workspace
  • Cost
  • About
  • Notes

RadiusEquation

Published October 25, 2012 at 237 × 86 in Making the Fretboard
← Previous Next →
Comments are closed, but you can leave a trackback: Trackback URL.
Blog at WordPress.com.
Privacy & Cookies: This site uses cookies. By continuing to use this website, you agree to their use.
To find out more, including how to control cookies, see here: Cookie Policy
    • Building an Acoustic Steel String Guitar
    • Sign up
    • Log in
    • Copy shortlink
    • Report this content
    • Manage subscriptions